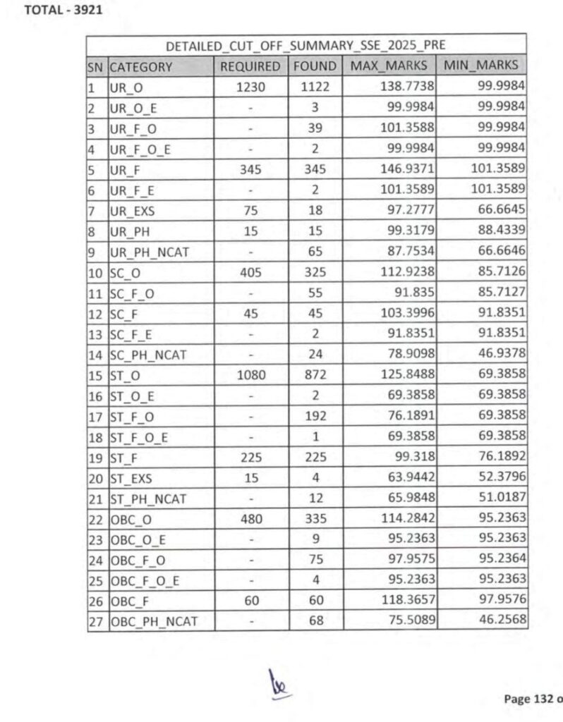
छत्तीसगढ़ लोक सेवा आयोग की प्री परीक्षा का रिजल्ट जारी कर दिया गया है. राज्य सेवा (प्रारंभिक) परीक्षा–2025 के लिखित परीक्षा परिणाम के आधार पर विज्ञापित पदों का 15 गुना अर्थात 3975 अभ्यर्थियों का चिन्हांकन किया जाना था, परंतु वर्गवार/उपवर्गवार अर्ह अभ्यर्थियों की उपलब्धता के आधार पर कुल 3921 अभ्यर्थी मेंस परीक्षा के लिए सेलेक्ट हुए हैं. 16 से 19 मई तक अब मेंस की परीक्षा होगी. जबकि 22 फरवरी को प्री परीक्षा हुई थी.

